欧美黑人巨大videos精品_欧美黑人巨大xxxxx_欧美黑人乱大交_欧美黑人乱大交_欧美黑人牲交videossexeso_欧美黑人添添高潮a片www_欧美黑人添添高潮a片www_欧美黑人性暴力猛交喷水黑人巨大

浙艺新闻

我校学子在浙江省第十二届大学生 “书漫之江”汉字书写大赛中荣获3项一等奖

出处:基础教学部(公共体育部)  文字:张笑  编辑:管理员  时间:2024-07-09
字体:放大 缩小

   近日,浙江省第十二届大学生中华经典诵写讲大赛“书漫之江”汉字书写大赛在湖州师范学院举办。本届赛事共有全省83所高校参加,收到参赛作品705件,其中本科组软硬笔作品404件,高职高专组软硬笔作品301件。经评审,高职高专组荣获一等奖30人、二等奖59人、三等奖92人。

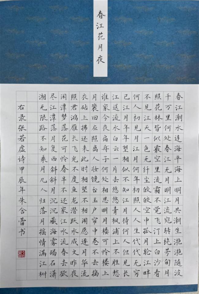
   我校基础教学部(公体部)联合校团委于5月进行了校级选拔赛,同学们踊跃报名,积极参与,充分体现了大家对传统文化和汉字书写的热情与喜爱。活动共收到作品32件,择优推荐了8件作品参加此次大赛。23公共文化(定向)专业陈科翰、22公共文化专业徐嘉欣在决赛中获得高职组(软笔)一等奖,22公共文化(定向)专业朱含蕾获得高职组(硬笔)一等奖, 22歌舞专业何思怡、22公共文化专业葛米岚和22公共文化专业陈静获得高职组(软笔)三等奖。本次决赛中的一等奖作品将代表浙江赛区参加国赛。

图片1.png

image.png

image.png

image.png



关闭】 【打印
上一篇: 喜报丨我校青春健康项目再获国家级立项下一篇:

欧美黑人巨大videos精品_欧美黑人巨大xxxxx_欧美黑人乱大交_欧美黑人乱大交_欧美黑人牲交videossexeso_欧美黑人添添高潮a片www_欧美黑人添添高潮a片www_欧美黑人性暴力猛交喷水黑人巨大